浮子流量計安裝和使用
點擊次數:4581 發布時間:2021-03-16 09:09:04
一、浮子流量計的選型
1、類型和結構的選擇
上面已經介紹了浮子流量計有很多類型,選擇哪一種類型應根據測量目的、流體性質和狀態來確定。
如只要現場指示,*先考慮價廉的玻璃浮子流量計,如果溫度、壓力太高不能勝任,則選用就地指示的金屬管浮子流量計。玻璃浮子流量計應選用帶有透明防護罩的儀表,一旦玻璃錐管破裂,可擋住流體正向噴射,以作緊急處理。用于氣體時應選用帶導向桿或帶棱筋導向的儀表,避免操作不慎,浮子擊碎錐管。
如需要遠傳輸出信號作總量積算或流量控制,一般選用電信號輸出的金屬管浮子流量計。如環境氣氛有防爆要求而現場又有控制儀表用氣源,則應考慮選用氣遠傳金屬管浮子流量計,若選用電遠傳儀表,則必須是防爆型儀表。
2、根據實際流體密度選擇流量范圍
由于廠家標定的浮子流量計流量刻度的范圍是指液體為常溫水的流量范圍,氣體為工程標準狀態(即20℃、101325Pa的狀態)下空氣的流量范圍。所以,用戶要求的流量范圍應根據實際介質的密度按式(5-17)或式(5-18)換算后的值加以選擇。其中前者用于掖體、后者用于氣體。但應注意,這是認為浮子流量計的流量系數a為常數的前提條件下得到的。

式中,qvk為待選定的用水標定浮子流量計的*大流量;qv為被測實際液體的*大流量;ρ1為浮子密度(kg/m3);ρ為被側流體密度(kg/m3)。

式中,qv空氣為待選定的用空氣標定浮子流量計的*大流量;qv為被測實際氣體的*大流量;ρ為被測氣體使用狀態下絕對壓力(Pa);T為被測氣體使用狀態下熱力學溫度(K);ρ為被測氣體在刻度狀態下的密度(kg/m3)。
也可以用式(5-19)來換算氣體的流量范圍,Kp、Kp和Kt分別為表5-2~表5-4中的值,qv空氣和qv的意義同上。

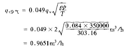
例3 測量ρ=350kPa、T=303.16K的氫氣流量,*大流量為2m2/h,問應選用多大流量范圍的氣體浮子流量計?
解:根據式(5-18),查氫氣在刻度狀態下的密度為0.084kg/m3,所以

也可用式(5-19),查表5-2~表5-4,得Kp=3.788,Kp=1.8586,Kt=0.9834,所以

從上面的計算可以看出,測量上述狀態下的*大流量2m3/h的氫氣流量,應該選用*大空氣流量為lm3/h的浮子流量計才能正常工作。
選用流量范圍時還應注意常用流量應選在*大流量的70%~80%之間。
3、精確度、范圍度和示值刻度
浮子流量計為中低等精確度的流量儀表。通用型玻璃浮子流量計的基本誤差,口徑小于6mm的為(2.5%~4%)FS,10~15mm的為2.5%FS,25mm以上為l.5%FS;金屬管浮子流量計就地指示型為(1.5%~2.5%)FS,遠傳型為(2.5%~4%)FS。耐腐蝕型儀表的精確度還要低一些。選用時應予注意。
通用型玻璃浮子流量計的范圍度一般微10:l,口徑大于8Omm時為5;1;金屬管浮子流量計一般為5:1~10:1。
玻璃浮子流量計的流量刻度有兩種形式:一種是直接流量刻度;另一種是百分刻度。流量刻度的示值以標定介質直接用流量單位表示;百分刻度示值以百分率表示,同時在銘*上給出100%時的流量值。
4、粘度影響
選用浮子流量計時應注意流體粘度的影響。從浮子流量計的特性可以看出,有些儀表的流量系數易受流體粘度的影響,選用時應根據實際流體的粘度變化情況.或選用穩定型浮子形狀,或選用有粘度修正資料的浮子流量計產品。
二、浮子流量計的安裝
l)浮子流量計必須垂直地安裝在無振動的管道上,不應有明顯的傾斜。流體自下而上通過浮子流量計,如有傾斜,則傾斜角θ一般不應超過5讀°。對于1.5級似上的浮子流量計,θ應小于等于2°。如果θ=12°,則會產生約1%的附加誤差。一般,如果浮子還沒有碰到錐管壁面或與導向桿發生摩擦,則由于傾斜角θ時的正確流量值可用下式表示

式中,qvo為流量計讀數;qv為浮子流量計傾斜時的正確的流量值。
2)為了方便檢修和更換流量計和清洗測量管道,除了安裝流量計的現場有足夠的空間外,在流量計的上下游應安裝必要的閥門。一般情況下.流量計的前面用全開閥.后面用流量調節閥,并在流量計的位置設置旁路管道,安裝旁通閥。如圖5-9a所示。


3)對于臟污流體,應在流量計的上游入口處安裝過濾器,帶有磁性耦合的金屬管浮子流量計用于側量含鐵磁性雜質流體時,應在儀表前安裝磁過濾器。為了防止由于浮子和錐管被污染而影響測量值,必要時可設置如圖5-9b所示的沖洗配管定時沖洗。尤其是對于小口徑儀表,浮子潔凈程度將明顯影響側量值,使用時應加以充分注意。
4)在有可能產生流體倒流的管道上安裝流量計時,為避免因流體倒流或水錘現象損壞流量計,應在流量計的下游安裝單向閥,如圖5-9b所示的閥4。
5)有時浮子流量計的示值波動不穩,產生原因之一是流體本身的脈動,如儀表上游的泵、調節閥或下游負荷變化太大所引起;另一原因是儀表本身的振蕩,如測量氣體時壓力過低,或儀表上游閥門未全開,調節閥未裝在儀表下游等。若是流體本身的脈動.則應改進管道系統,在流量計上游設置緩沖器;若是儀表本身振蕩,應針對具體原因加以消除。
三、浮子流量計的使用
1)浮子流量計在管路系統中正確安裝完畢后,使用時應緩慢地開啟上游閥門至全開,然后用下游調節閥調節流*。當流量計停止使用時,應先緩慢地關閉全開閥,然后再關閉流量調節閥。
2)使用過程中,應按流量計的讀數要求讀取流量計的示值。一般都是以浮子的*大直徑對應讀數。當浮子的讀數邊緣受到損傷而嚴重影響流量計示值讀數時,應及時更換浮子,重新檢定。
3)當流量計的錐管和浮子受到污染時,應及時清洗,以免影響流量計準確度。
4)使用中的流量計,如發現有滲漏,應均勻地緊固壓緊螺栓(或螺母〕,但應避免過分緊固而夾碎玻璃錐管。若上述方法無效,則應更換密封墊圈。更換密封墊圈、玻璃錐管或浮子時,先拆下外罩,再均勻地擰松壓緊螺栓,然后卸下支承板,上、下基座。拆卸時切勿用力過大,卸基座時應托住玻璃錐管,以免損壞錐管和浮子。
5)如果被測流體的參數(如密度、溫度、壓力和粘度等)與流量計刻度時的狀態不同,則必須對流量計的示值刻度進行刻度換算。
上一篇:浮子流量計的結構分類
下一篇:靶式流量計的流量系數及壓力損失


